Give step-by-step solution with explanation and final answer: (give me answer without using bullet points)pal) wy r() 0 Ll pone AR) {mt ) Sho wt) fs } | ® Ppa): (T(K).V (m0) {n mol)", > P(T(K).V" (17). (me )]",) Pa) 2 NY J rz) rity) fo 2) (elf mt) 2 nom) Art ins) = ) I FE 2 cyof nmr 2) {tof rt 2 5 0 wm) 5 Ve) fr ——) | EE 2) nom) 2) | 20 (mt) i 1 v(m) v(m) v(m oof nf) eH {ot fn et) se = ffi I) Sd tet) ) (ad mmol) (wp w oat pln img Se a(n Gorm oR) or (mot) er Ctl TT J P (ral ym) {et rer 1] i Le >0 Fluid mixtures are often considered to possess thermodynamic properties consistent with either the ideal gas equation of state (IGEOS) or one of the generic cubic equations of state (GCEOS). IGEOS P(Pa):D, &l(r).r (1). 4m (mot) J eR x x(R J) SR P(Pa):(T(K)." (1) 4, (mol 0)", ) > P(T(K).V" ("fn (mol), ) (Pa) 2 v(m REA mol mix)- R (rn, (mol 1) = GCEOS The parameters of the four commonly considered GCEOS models, and the dependence on the reduced temperature variable 7,,(-) 2 T(K)/T.,(K) are first listed in Table 1 below, and then the GCEOS model is listed further below with 7, (-) substituted in terms of 7'(K): Table 1: GCEOS Parameters Go | mw Jefe a [Tv [7] FC AC CN CO EC EC I ET A A ROR 0.480 NF no [1 oe +1.574m, - 0.176} 0.37464 + L PR(1976 —(7 Rl1- [Eo I { (©. I 0.07780 | 0.45724 | 0.30740 In two homework tasks the gas mixture of hydrogen (Hz) and methane (CHa) is considered to obey either the ideal gas equation of state (IGEOS) or one of the generic cubic equations of state (GCEOS). The GCEOS parameter values for hydrogen (Hz) and methane (CHa) are: H, :i=1T,=3319(K), P, =13.13:10° (Pa), &, =-0.216(-) CH, :i=2,T,,=190.6(K), P,=45.99-10°(Pa), w, =0.012()
Question:
Give step-by-step solution with explanation and final answer:
(give me answer without using bullet points)
pal) wy r() 0 Ll
pone AR) {mt ) Sho wt) fs } | ®
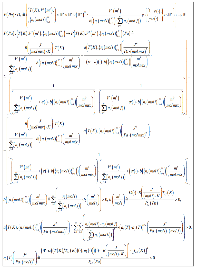
Ppa): (T(K).V (m0) {n mol)", > P(T(K).V" (17). (me )]",) Pa) 2
NY J
rz) rity)
fo 2) (elf mt) 2
nom) Art ins) = )
I FE
2 cyof nmr 2) {tof rt 2
5 0 wm) 5 Ve)
fr ——) |
EE 2)
nom) 2)
| 20 (mt)
i 1
v(m) v(m) v(m
oof nf) eH {ot fn et) se
= ffi I) Sd tet) )
(ad mmol) (wp w oat
pln img Se a(n Gorm
oR) or (mot) er Ctl TT J
P (ral ym) {et rer
1] i Le >0
Fluid mixtures are often considered to possess thermodynamic properties consistent with either
the ideal gas equation of state (IGEOS) or one of the generic cubic equations of state (GCEOS).
IGEOS
P(Pa):D, &l(r).r (1). 4m (mot) J eR x x(R J) SR
P(Pa):(T(K)." (1) 4, (mol 0)", ) > P(T(K).V" ("fn (mol), ) (Pa) 2
v(m
REA
mol mix)- R
(rn, (mol 1)
=
GCEOS
The parameters of the four commonly considered GCEOS models, and the dependence on the
reduced temperature variable 7,,(-) 2 T(K)/T.,(K) are first listed in Table 1 below, and then
the GCEOS model is listed further below with 7, (-) substituted in terms of 7'(K):
Table 1: GCEOS Parameters
Go | mw Jefe a [Tv [7]
FC AC CN CO EC EC
I ET A A ROR
0.480 NF
no [1 oe
+1.574m, - 0.176}
0.37464 + L
PR(1976 —(7 Rl1-
[Eo I { (©. I 0.07780 | 0.45724 | 0.30740
In two homework tasks the gas mixture of hydrogen (Hz) and methane (CHa) is considered to
obey either the ideal gas equation of state (IGEOS) or one of the generic cubic equations of state
(GCEOS). The GCEOS parameter values for hydrogen (Hz) and methane (CHa) are:
H, :i=1T,=3319(K), P, =13.13:10° (Pa), &, =-0.216(-)
CH, :i=2,T,,=190.6(K), P,=45.99-10°(Pa), w, =0.012()
Asked by: Francis
Created at: 2026-01-22 07:58:50
Final Answer:
📢 Instructions:
- Ask anything relatd to above question only.
- For new Question goto :
VIPSolutions